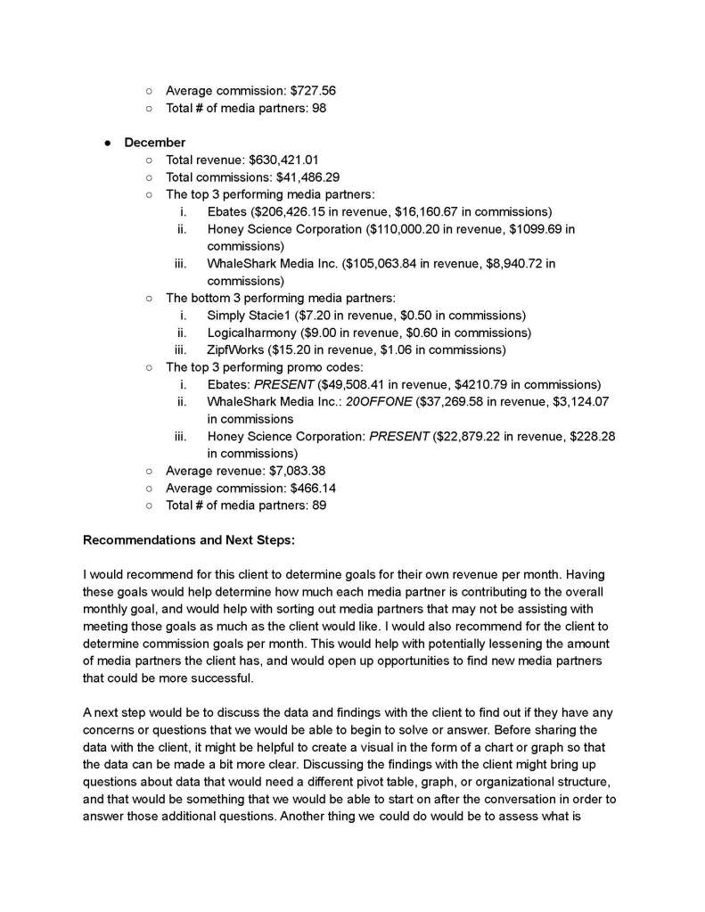
Affiliate Marketing Interview Project Posted byJessica LeBaronApril 15, 2021Posted inUncategorized View the pivot table I created for this project here. Share this: Share on X (Opens in new window) X Share on Facebook (Opens in new window) Facebook Like Loading... Related